Mari kita perhatikan gambar di bawah ini!
Gambar di atas menunjukkan sebuah bola yang dilempar ke atas dan bola yang dilempar ke bawah. Coba kalian amati apa yang berbeda dari kedua gambar di atas!
Buatlah pertanyaan yang berkaitan dengan gambar di atas untuk menambah wawasan kalian!
Contoh, apa yang terjadi pada batu ketika mencapai titik tertinggi ketika dilempar ke atas?
Pada gambar di atas menunjukkan sebuah batu yang terjatuh dari titik A menuju titik B, apakah ada perbedaan ketika batu dilempar dengan batu terjatuh dengan sendirinya?
Untuk membuktikan gerak vertikal, mari kita lakukan percobaan di bawah ini!
Gunakan kemiringan sudut 90 derajat untuk mencoba gerak vertikal ke atas!
Pada gerak vertikal ke atas, semakin ke atas atau semakin tinggi kedudukan benda maka kecepatan benda semakin berkurang sehingga pada titik tertinggi
kecepatan benda sama dengan nol. Di titik puncak benda berhenti sesaat sebelum kemudian akan berbalik kembali arah
ke bawah dan mengalami gerak jatuh bebas, yaitu benda yang bergerak jatuh dengan kecepatan awal sama
dengan nol. Pada
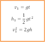
gerak vertikal ke atas bisa ditulis dengan persamaan
Coba perhatikan grafik di bawah ini
Pada grafik A kecepatan merupakan besaran vektor, jadi wajib memiliki arah. Dalam fisika, benda yang bergerak ke kanan atau ke atas memiliki kecepatan positif sedangkan benda yang bergerak ke kiri atau ke bawah memiliki kecepatan negatif. Dari grafik v-t di atas menunjukkan bahwa ketika bola dilempar ke atas, mula-mula kecepatan bola v0 kemudian seiring bertambahnya waktu kecepatan semakin menurun.
Sedangkan pada grafik B v-t (kelajuan) sebenarnya adalah
grafik v-t (kecepatan) yang tidak memiliki arah. Karena kita tahu bahwa kelajuan adalah besaran skalar. Dari grafik dapat dilihat bahwa mula-mula
kelajuan bola yang dilempar ke atas adalah v0 karena bergerak
ke atas kelajuan bola semakin menurun karena diperlambat oleh g.
Kelajuan tidak ada yang bertanda negatif.
Jadi, semua grafik kelajuan bernilai positif. Berbeda halnya dengan kecepatan.
Kecepatan dapat bernilai positif ataupun negatif. Arah
gerak ke atas untuk kecepatan bernilai positif dan arah gerak ke bawah bernilai
negatif.
Contoh dalam kehidupan sehari-hari adalah ketika
wasit pada pertandingan bola basket melempar bola diawal pertandingan akan
terlihat kecepatan bola semakin menurun sampai akhirnya berhenti sejenak di
ketinggian maksimalnya.
Sedangkan
pada benda yang bergerak ke bawah, arah kecepatan benda searah dengan arah
percepatan gravitasi bumi sehingga semakin lama benda bergerak ke bawah,
kecepatannya akan semakin meningkat. Oleh karena itu benda mengalami percepatan sehingga
geraknya disebut gerak lurus beraturan dipercepat.
Pada
gerak vertikal ke bawah, dapat ditulis dengan persamaan:
Oleh karena gerak benda searah dengan gaya gravitasi bumi (benda bergerak ke bawah) maka benda akan mengalami percepatan.
Di dalam kehidupan sehari-hari kita sering
melihat jatuhnya sebuah benda dari suatu ketinggian tertentu tanpa kecepatan
awal. Misalnya sebuah kelapa tua yang jatuh dari pohonnya. Gerak jatuh benda
dari suatu ketinggian tanpa kecepatan awal disebut gerak jatuh bebas. Secara
ideal, gerak jatuh bebas haruslah berada di ruang hampa. Hal ini dimaksudkan
agar tidak ada gesekan antara benda dan udara yang dapat menghambat gerak benda
tersebut. sehingga gerak jatuh bebas semata-mata mendapat percepatan dari
pengaruh gravitasi bumi yang arahnya selalu menuju pusat bumi.







